If you are interested in our products or would like to learn more information, please contact us
Coupling Agent
Products Categories
Contact Us
If you are interested in our products or would like to learn more information, please contact us
+86 133 3606 9657
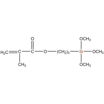
Physical and chemical properties
| CAS No. | 2530-85-0 |
| EINECS No. | 219-785-8 |
| Formula | C10H20O5Si |
| Molecular Weight | 248.35 |
| Viscosity 25°C | 2 cSt |
| Boiling Point | 255°C [760mmHg] |
| Flash Point | 108°C |
| Color and Appearance | Colorless transparent liquid |
| Density 25/25°C | 1.045 |
| Refractive Index | 1.430 [25°C] |
| Min. Purity | 99.0% |
Application
1. Mainly used in unsaturated polyester composite materials, it can improve the mechanical properties, electrical properties, and light transmittance of composite materials, especially it can greatly improve the wet properties of composite materials.
2. The wet treatment of glass fiber with (containing this coupling agent) can improve the mechanical strength and electrical properties of glass fiber reinforced composite materials in the wet state.
3. In the wire and cable industry, the coupling agent is used to treat the clay-filled peroxide-crosslinked EPDM system to improve the consumption factor and specific inductance and capacitance.
4. Copolymerized with vinyl acetate and acrylic acid or methacrylic acid monomers, these polymers are widely used in coatings, adhesives and sealants, providing excellent adhesion and durability.
5. Mainly used to improve the bonding properties of organic and inorganic materials, such as glass fiber in FRP and plastics, rubber, paint, siliceous fillers in coatings, and other materials. It is also used in adhesives to increase bonding properties.
6. Coupling two materials to improve the mechanical strength of the product, the electrical properties, weather resistance and corrosion resistance of the composite material, suitable for unsaturated polyester and acrylate adhesives.
Packaging and Storage
Coupling agent 570 is packaged in a blue plastic barrel with a carton outside and needs to be stored away from light.
This product will hydrolyze and condense into silanol when in contact with water and will be affected by temperature, pH value and concentration. Store away from light and moisture. It is best to store below 25°C for no more than three months.
For more information on Safety Data Sheets (MSDS), Product Safety Data Sheets, and Product Inspection Reports, please contact us.

Ready to Get Started?
Contact Hocon Organic Silicon Product suppliers today to bring your idea or design to life sooner!
Please complete the contact form and we aim to get back to you within 24 hours.
Related Products
Cas: 23843-64-3
Urea-propyltrimethoxysilane is a kind of chemical substance
Cas: 4420-74-0
(3-Mercaptopropyl)trimethoxysilane (KH-590) is a bifunctional silane coupling agent that enables robust bonding between inorganic substrates (e.g., metals, glass fibers) and organic polymers (e.g., rubber, resins).
Cas: 14814-09-6
3-mercaptopropyltriethoxysilane is a chemical substance and is a light yellow liquid.
Cas: 78-10-4
It is often used as a reagent in organic synthesis. Ethyl orthosilicate can be used as a catalyst or reaction intermediate to participate in a variety of organic reactions, such as esterification, etherification, etc.
Our Market
Hocon International Co., Ltd. was established in 2015, is a manufacturer specializing in silicone products. Its product varieties include: organosilanes, silicone resin, silicone oil, modified silicone oil and their deep-processing products, the application fields of the products involve daily ...